Panasonic
AI-Driven Competitive Intelligence Dashboard
How we built operational leverage to compete against better-funded rivals (without adding headcount) in a resource-constrained environment.
Role & Scope
Role
Team
Timeline
6 weeks
Scope
Strategy, UX, Design
Responsibilities:
Shaped product vision and competitive positioning with executive stakeholders
Led user research project that defined our strategic direction
Established design system, accessibility and quality standards for the team
Partnered with Product and Engineering leadership on roadmap prioritization
The Challenge
Panasonic Smart Mobility's competitive landscape spanned the spectrum from venture-backed startups to global enterprise players. Each competitor was moving fast, launching services and features, adjusting their position and capturing more market share. Meanwhile, our product and design teams were drowning in manual competitive research.
Traditional solutions weren't viable. Hiring a research team or investing in enterprise solutions would have cost the team $50k+ annually. Our previous quarterly reports were outdated within weeks, the market moved fast. We needed a solution.
The strategic questions: How do we create leverage without headcount? How do we compete on intelligence when we can't compete on resources?
Outcomes
Enabled continuous monitoring vs. quarterly audits accelerating our competitive response
Connected competitive insights directly to quarterly planning cycles
Created shared competitive intelligence source across product, design, sales, and exec teams
Near-zero marginal cost; eliminated need for enterprise platforms and additional headcount
The Strategic Approach
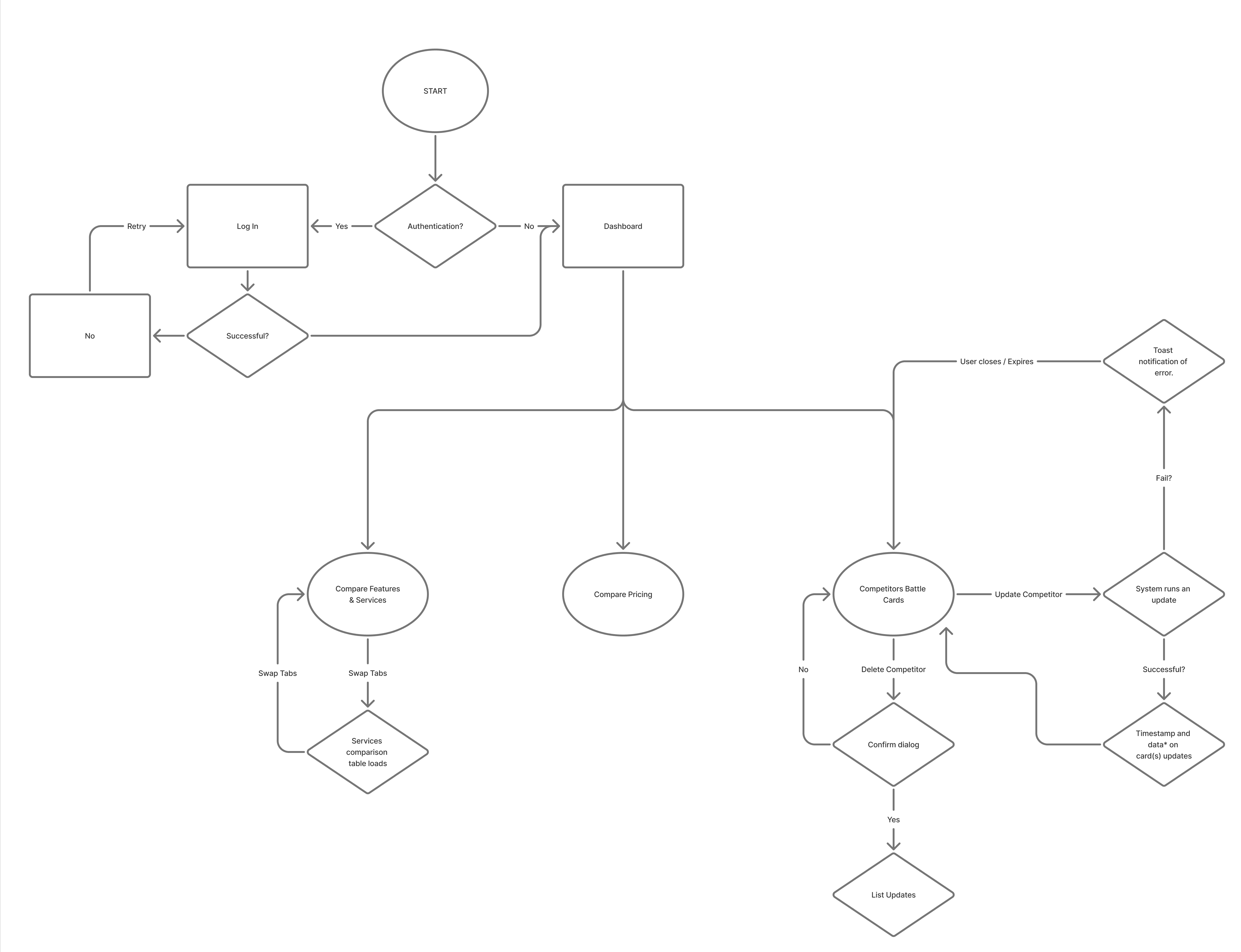
I identified an opportunity to build an AI assistant-led dashboard that could synthesize market data, track competitor movements, and surface strategic insights at near-zero marginal cost. Not a replacement for human judgement, but an advantage to strategic thinking.
Key Finding
A well-designed AI assistant could compress weeks of manual competitive research into hours, freeing the team to focus on strategic interpretation and decision-making rather than data dathering.
Key Trade-offs
Breadth over depth:
We chose to monitor many competitors at surface level rather than deep dives on a few. Rationale: we could always drill down when specific questions emerged, but we needed comprehensive awareness.
Speed over perfection:
We accepted some data quality gaps and marked questionable data with verification flags.
Internal build vs buy:
We chose to prototype internally for customization and cost, accepting technical limitations over enterprise-grade polish. This decision saved us money while giving us exactly what we needed.
Design Principles
Augmentation over Automation
The AI surfaces insights and patterns while humans make strategic calls.
Context-aware Synthesis
Rather than generic competitor profiles, the assistant connected competitive moves to our specific product roadmap decisions and market positioning.
Actionable Speed
We enabled rapid "should we respond to this competitor feature?" conversations rather than comprehensive quarterly reports, optimizing us for strategic decision making.
Organizational Transformation
Beyond solving immediate competitive intelligence gaps, this project fundamentally repositioned design as a strategic function within the organization. The operational leverage created space for strategic thinking that wasn't possible when the team was drowning in research.
Before: Design reacted to competitive features after they were flagged by sales and/or our teams annual analysis. We were always playing catch-up, designing feature parity rather than differentiated experiences.
After: Design proactively identified competitive patterns and influenced roadmap prioritization. We established regular touchpoints with product leadership, positioning design as a strategic intelligence source rather than just an execution arm.
When The Mobility House launched their new pricing strategy, the dashboard surfaced it within 24 hours with context on their positioning and customer impact. This enabled our product leaders to hold a pricing conversation prior to a competitive bid that we would have otherwise lost due to our current pricing model.
Strategic Lessons
Leadership isn't always about big budgets
Sometimes it can be about identifying where AI can create advantages.
The hardest part wasn't the AI, it was designing the right human + AI interaction
We had to build trust through transparency, create verification workflows for data quality issues, and balance automation with the need for human judgement.
Balancing value, effort, and impact is key
The competitive dashboard didn't just save time, it fundamentally changed how the team saw the designers role and impact.
What I'd Do Differently
With more budget and resources
I'd have invested deeper integration with our product roadmap tools and built more sophisticated pattern recognition to identify market trends, not just competitive moves. I'd also create a feedback loop to measure which insights actually influenced decisions vs. which were just interested data.






